"

9 Radical Equations

Topics Covered:[1]

In case you missed something in class, or just want to review a specific topic covered in this Module, here is a list of topics covered:
  1. Solve Radical Equations
  2. Solve Radical Equations with Two Radicals
  3. Solve Equations with Rational Exponents
  4. Use Radicals in Applications
  5. Key Concepts

Solve Radical Equations

Radical equations are equations that contain variables in the radicand (the expression under a radical symbol), as seen in the table below

Example
\displaystyle\sqrt {3x+18}=x
\displaystyle\sqrt{x+3}=x-3
\displaystyle\sqrt{x+5}-\sqrt{x-3}=2

Radical Equation

An equation in which a variable is in the radicand of a radical expression is called a radical equation.

As usual, when solving these equations, what we do to one side of an equation we must do to the other side as well. Once we isolate the radical, our strategy will be to raise both sides of the equation to the power of the index. This will eliminate the radical.

Solving radical equations containing an even index by raising both sides to the power of the index may introduce an algebraic solution that would not be a solution to the original radical equation. For example, when we write \displaystyle\sqrt{a} we mean the principal square root. So \displaystyle\sqrt{a} ≥ 0 always. When we solve radical equations by squaring both sides we may get an algebraic solution that would make \displaystyle\sqrt{a} negative. This algebraic solution would not be a solution to the original radical equation; it is an extraneous solution.

Try it!

For the equation \displaystyle\sqrt{x + 2}=x:

a. Is x = 2 a solution?     b. Is x = −1 a solution?


Solution A (click to reveal)

a. Is x = 2 a solution?

Steps Algebraic
Equation This figure begins with the square root of (x plus 2) which equals x.
Let x = 2. It then says, “Let x equals 2.” The figure shows the variables being replaced in the original equation so that it reads the square root of (2 plus 2) equals 2.
Simplify. The figure then says, “Simplify.” Thus, the square root of 4 equals 2.
Check So 2 equals 2.
Solution 2 is a solution.

 

Solution B (click to reveal)

b. Is x = −1 a solution?

Steps Algebraic
Equation  This figure begins with the square root of (x plus 2) which equals x.
Let x = −1. The figure then indicates, “Let x equals -1.” It then shows the variables in the original equation being replaced so that it reads the square root of (-1 plus 2) equals -1.
Simplify. The figure then says, “Simplify.” It shows the square root of 1 equals -1, and then 1 does not equals -1.
Check It then says, “-1 is not a solution. -1 is an extraneous solution to the equation.
Solution −1 is not a solution. −1 is an extraneous solution to the equation.

 

 In the next example, we will see how to solve a radical equation. Our strategy is based on raising a radical with index n to the nth power. This will eliminate the radical.
For a ≥ 0, \displaystyle\left(\sqrt[n]{a}\right)^{n}=a.
How to solve a radical equation with one radical.
  1. Isolate the radical expression on one side of the equal sign. Put all remaining terms on the other side.
  2. If the radical is a square root, then square both sides of the equation. If it is a cube root, then raise both sides of the equation to the third power. In other words, for an nth root radical, raise both sides to the nth power. Doing so eliminates the radical symbol.
  3. Solve the remaining equation.
  4. Solve the new equation.
  5. Check the answer in the original equation.

Try it! – How to Solve a Radical Equation

Solve: \displaystyle\sqrt {5n-4}-9=0.


Solution (click to reveal)


Step 1 is to isolate the radical on one side of the equation. To isolate the radical add 9 to both sides. The resulting equation is square root of the quantity 5 n minus 4 in parentheses minus 9 plus 9 equals 0 plus 9. This simplifies to square root of the quantity 5 n minus 4 in parentheses equals 9.
Step 2 is to raise both sides of the equation to the power of the index. Since the index of a square root is 2, we square both sides. Remember that the square of the square root of “a” is equal to “a”. The equation that results is the square of the square root of the quantity 5 n minus 4 in parentheses equals 9 squared. This implifies to 5 n minus 4 equals 81.Step 3 is to solve the new equation. We get 5 n equals 85 and then n equals 17.Step 4 is to check the answer in the original equation. Does the square root of the quantity 5 times 17 minus 4 in parentheses minus 9 equal zero? Simplifying the left side we get square root of the quantity 85 minus 4 in parentheses minus 9 and then square root of 81 minus 9 and then 9 minus 9 which does equal 0. This verifies that the solution is n equals 17.

Sometimes there could be two solutions, but one of them may be extraneous!

Try it!

Solve: \displaystyle\sqrt{r + 4}-r+2=0.


Solution (click to reveal)
Steps Algebraic
Equation \displaystyle\sqrt{r+4}-r+2=0
Isolate the radical. \displaystyle\sqrt{r+4}=r-2
Square both sides of the equation. \displaystyle\left(\sqrt{r+4}\right)^{2}=(r-2)^{2}
Simplify and then solve the equation. r + 4 = r2 − 4r + 4
It is a quadratic equation, so get zero on one side. 0 = r2 − 5r
Factor the right side. 0 = r (r − 5)
Use the Zero Product Property. 0 = r, 0 = r − 5
Solve the equation. r = 0, r = 5
Check your answer. Checking the answer r equals 0. Does the square root of the quantity 0 plus 4 in parentheses minus 0 plus 2 equal 0? The square root of 4 plus 2 equals 0 so r equals 0 is a solution. Checking the answer r equals 5. Does the square root of the quantity 5 plus 4 in parentheses minus 5 plus 2 equal 0. Since the square root of 9 minus 3 equals 0, r equals 5 is also a solution. The solutions are r equals 0 and r equals 5.
Solution The solution is r = 5. r = 0 is an extraneous solution.

When we use a radical sign, it indicates the principal or positive root. If an equation has a radical with an even index equal to a negative number, that equation will have no solution.

Try it!

Solve: \displaystyle\sqrt {9k-2}+1=0.


Solution (click to reveal)
Steps Algebraic
Equation The equation is square root of the quantity 9 k minus 2 in parentheses plus 1 equals 0.
To isolate the radical, subtract 1 from both sides. To isolate the radical, subtract 1 from both sides. The resulting equation is square root of the quantity 9 k minus 2 in parentheses plus 1 minus 1 equals 0 minus 1.
Simplify. Simplifying this we get square root of the quantity 9 k minus 2 in parentheses equals negative 1. Since the square root of a real number is always positive there is no solution to the equation.

Because the square root is equal to a negative number, the equation has no solution.

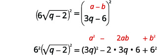
If one side of an equation with a square root is a binomial, we use the Product of Binomial Squares Pattern when we square it.

Binomial Squares
(a + b)2 = a2 + 2ab + b2
(a − b)2 = a2 − 2ab + b2

Don’t forget the middle term!

Try it!

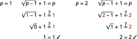
Solve: \displaystyle\sqrt {p-1}+1=p.


Solution (click to reveal)
Steps Algebraic
Equation \displaystyle\sqrt {p-1}+1=p
To isolate the radical, subtract 1 from both sides. To isolate the radical, subtract 1 from both sides. The resulting equation is square root of the quantity p minus 1 in parentheses plus 1 minus 1 equals p minus 1.
Simplify. This simplifies to is square root of the quantity p minus 1 in parentheses equals p minus 1.
Square both sides of the equation. Squaring both sides of the equation we get the square of the square root of the quantity p minus 1 in parentheses equals the square of the quantity p minus 1.
Simplify, using the Product of Binomial Squares Pattern on the right. Then solve the new equation. Simplify using the binomial squares pattern on the right. The simplified equation is p minus 1 equals p squared minus 2 p plus 1.
It is a quadratic equation, so get zero on one side. This is a quadratic equation, so get zero on one side. 0 equals p squared minus 3 p plus 2.
Factor the right side. Factor the right side. 0 equals the product of the quantity p minus 1 in parentheses with the quantity p minus 2 in parentheses.
Use the Zero Product Property. Use the zero product property. 0 equals p minus 1 and 0 equals p minus 2.
Solve each equation. Solving each equation we get p equals 1 and p equals 2.
Check the answers. Checking the answer p equals 1. Does the square root of the quantity 1 minus 1 in parentheses equal 1? The square root of zero plus 1 equals 1 so p equals 1 is a solution. Checking the answer p equals 2. Does the square root of the quantity 2 minus 1 in parentheses plus 1 equal 2. Since the square root of 1 plus 1 equals 2, p equals 2 is also a solution. The solutions are p equals 1 and p equals 2.
Solution The solutions are p = 1, p = 2.

When the index of the radical is 3, we cube both sides to remove the radical.

(\sqrt[3]{a})3 = a

Try it!

Solve: \displaystyle\sqrt[3]{5x+1}+8=4.


Solution (click to reveal)
Steps Algebraic
Equation \displaystyle\sqrt[3]{5x+1}+8=4
To isolate the radical, subtract 8 from both sides. \displaystyle\sqrt[3]{5x+1}=-4
Cube both sides of the equation. \displaystyle\left(\sqrt[3]{5x+1}\right)^{3}=(-4)^{3}
Simplify. 5x + 1 = −64
Simplify. 5x = −65
Simplify. x = −13
Check the answer. Checking the answer x equals negative 13. Does the cube root of the quantity 5 times negative 13 plus 1 in parentheses plus 8 equal 4? The cube root of negative 64 plus 8 equals negative 4 plus 8 which equals 4 so the solution is x equals negative 13.
Solution The solution is x = −13.

Solve Radical Equations with Two Radicals

If the radical equation has two radicals, we start out by isolating one of them. It often works out easiest to isolate the more complicated radical first.

In the next example, when one radical is isolated, the second radical is also isolated.

Try it!

Solve: \displaystyle\sqrt[3]{4x-3}=\sqrt[3]{3x+2}.


Solution (click to reveal)
Steps Algebraic
The radical terms are isolated. \displaystyle\sqrt[3]{4x-3}=\sqrt[3]{3x+2}
Since the index is 3, cube both sides of the equation. \displaystyle\left(\sqrt[3]{4x-3}\right)^{3}=\left(\sqrt[3]{3x+2}\right)^{3}
Simplify, 4x − 3 = 3x + 2
Simplify, x − 3 = 2
Solve the new equation. x = 5
Solution The solution is x = 5.
Check the answer. We leave it to you to show that 5 checks!
How to solve if there are 1 or more radicals:
  1. Isolate one of the radical terms on one side of the equation.
  2. Raise both sides of the equation to the power of the index.
  3. Are there any more radicals?
    If yes, repeat Step 1 and Step 2 again.
    If no, solve the new equation.
  4. Check the answer in the original equation.

Sometimes after raising both sides of an equation to] a power, we still have a variable inside a radical. When that happens, we repeat Step 1 and Step 2 of our procedure. We isolate the radical and raise both sides of the equation to the power of the index again.

Try it! – How to Solve a Radical Equation

Solve: \displaystyle\sqrt{m}+1=\sqrt{m+9}.


Solution (click to reveal)


Step 1 is to isolate one of the radical terms on one side of the equation. The radical on the right is isolated.
Step 2 is to raise both sides of the equation to the power of the index. We square both sides. The equation that results is the square of the quantity square root of m plus 1 in parentheses equals the square of the square root of the quantity m plus 9 in parentheses. Simplify – be very careful as you multiply! This simplifies to m plus 2 times square root m plus 1 equals m plus 9.Step 3 is to repeat steps 1 and 2 again if there are any more radicals. There is still a radical in the equation. So we must repeat the previous steps. Isolate the radical term. 2 times square root m equals 8. Here, we can easily isolate the radical by dividing both sides by 2. We get square root m equals 4. Squaring both sides we get the square of the square root of m equals 4 squared. m equals 16.Step 4 is to check the answer in the original equation. Does the square root of 16 plus 1 equal the square root of the quantity 16 plus 9? Simplifying both sides we get 4 plus 1 equals 5. This verifies that the solution is m equals 16.

Be careful as you square binomials in the next example. Remember the pattern is (a + b)2 = a2 + 2ab + b2 or (a − b)2 = a2 − 2ab + b2.

Try it!

Solve: \displaystyle\sqrt{q-2}+3=\sqrt{4q+1}.


Solution (click to reveal)
Steps Algebraic
Equation The quantity the square root of q minus 2, plus 3 s equals the square of the square root of the quantity 4 q plus 1 .
The radical on the right is isolated. Square both sides. the quantity q minus 2 in parentheses and 3 in parentheses equals the square of the square root of the quantity 4 q plus 1 in parentheses.
Simplify. This simplifies to q minus 2 plus 6 times square root of the quantity q minus 2 in parentheses plus 9 equals 4 q plus 1.
There is still a radical in the equation so we must repeat the previous steps. Isolate the radical. There is still a radical in the equation. So we must repeat the previous steps. Isolate the radical term. 6 times square root of the quantity q minus 2 in parentheses equals 3 q minus 6.
Square both sides. It would not help to divide both sides by 6. Remember to square both the 6 and the \displaystyle\sqrt{q-2}. It would not help to divide both sides by 6. Squaring both sides we get the square of the product of 6 and the square root of the quantity q minus 2 in parentheses the square of the quantity 3 q minus 6 in parentheses. . Remember to square both the 6 and the square root of the quantity q minus 2. When squaring the right side use the formula the quantity a minus b in parentheses squared equals a squared minus 2 a b plus b squared. The resulting equation is 6 squared times the square of the square root of the quantity q minus 2 in parentheses equals the quantity 3 q in parentheses squared minus 2 times 3 q times 6 plus 6 squared.
Simplify, then solve the new equation. Simplifying we get 36 times the quantity q minus 2 in parentheses equals 9 q squared minus 36 q plus 36.
Distribute. Distributing we get 36 q minus 72 equals 9 q squared minus 36 q plus 36.
It is a quadratic equation, so get zero on one side. It is a quadratic equation, so get zero on one side. 0 equals 9 q squared minus 72 q plus 108.
Factor the right side. Factor the right side to get 0 equals 9 times the quantity q minus 6 in parentheses times the quantity q minus 2 in parentheses.
Use the Zero Product Property. Use the zero product property to get the equations q minus 6 equals 0 and q minus 2 equals 0. Solving eah equation we get q equals 6 and q equals 2. The solutions are q equals 6 and q equals 2.
The checks are left to you. The solutions are q = 6 and q = 2.

Solve Equations with Rational Exponents

We touched on Rational exponents in Radicals and Exponents. Recall that we can look at \displaystyle a^{\frac{m}{n}} in two ways. Remember the Power Property tells us to multiply the exponents and so \displaystyle\left(a^{\frac{1}{n}}\right)^{m} and \displaystyle (a^{m})^{\frac{1}{n}} both equal \displaystyle a^{\frac{m}{n}}.

Rational Exponent \displaystyle a^{\frac{m}{n}}

For any positive integers m and n,

\displaystyle a^{\frac{m}{n}}=(\sqrt[n]{a})^{m} and \displaystyle a^{\frac{m}{n}}=\sqrt[n]{a^{m}}

Sometimes an equation will contain rational exponents instead of a radical. We use the same techniques to solve the equation as when we have a radical. We raise each side of the equation to the power of the denominator of the rational exponent. Since (am)n = am·n, we have for example,

\displaystyle\left(x^{\frac{1}{2}}\right)^{2}=x, \displaystyle\left(x^{\frac{1}{3}}\right)^{3}=x

Remember, \displaystyle x^{\frac{1}{2}}=\sqrt{x} and \displaystyle x^{\frac{1}{3}}=\sqrt[3]{x}.

Try it!

Solve: \displaystyle (3x-2)^{\frac{1}{4}}+3=5.


Solution (click to reveal)
Steps Algebraic
Equation \displaystyle (3x-2)^{\frac{1}{4}}+3=5
To isolate the term with the rational exponent, subtract 3 from both sides. \displaystyle (3x-2)^{\frac{1}{4}}=2
Raise each side of the equation to the fourth power. \displaystyle\left((3x-2)^{\frac{1}{4}}\right)^{4}=(2)^{4}
Simplify. 3x − 2 = 16
Simplify. 3x = 18
Simplify. x = 6
Check the answer. Checking the answer x equals 6. Does the quantity 3 times 6 minus 2 in parentheses raised to the one-fourth power plus 3 equal 5? The quantity 18 minus 2 in parentheses raised to the one-fourth power plus 3 equals 16 to the one fourth power plus 3 which equals 2 plus 3 which does equal 5 so the solution is x equals 6.
Solution The solution is x = 6.

Solve: \displaystyle 3x^{\frac{3}{4}}=x^{\frac{1}{2}}.


Solution (click to reveal)

This equation involves rational exponents as well as factoring rational exponents. Let us take this one step at a time.

  • First, put the variable terms on one side of the equal sign and set the equation equal to zero.

\displaystyle 3x^{\frac{3}{4}}-\left(x^{\frac{1}{2}}\right)=x^{\frac{1}{2}}-\left(x^{\frac{1}{2}}\right)

\displaystyle 3x^{\frac{3}{4}}-x^{\frac{1}{2}}=0

  • Now, it looks like we should factor the left side, but what do we factor out? We can always factor the term with the lowest exponent. Rewrite \displaystyle x^{\frac{1}{2}} as \displaystyle x^{\frac{2}{4}}. Then, factor out \displaystyle x^{\frac{2}{4}} from both terms on the left.

\displaystyle 3x^{\frac{3}{4}}-x^{\frac{2}{4}}=0

\displaystyle x^{\frac{2}{4}}\left(3x^{\frac{1}{4}}-1\right)=0

  • Where did \displaystyle x^{\frac{1}{4}} come from? Remember, when we multiply two numbers with the same base, we add the exponents.
  • Therefore, if we multiply \displaystyle x^{\frac{2}{4}} back in using the distributive property, we get the expression we had before the factoring, which is what should happen. We need an exponent such that when added to  \displaystyle\frac{2}{4} equals  \displaystyle\frac{3}{4}. Thus, the exponent on x in the parentheses is  \displaystyle\frac{1}{4}.
  • Let us continue. Now we have two factors and can use the zero factor theorem.

\displaystyle x^{\frac{2}{4}}\left(3x^{\frac{1}{4}}-1\right)=0

\displaystyle x^{\frac{2}{4}}=0

x = 0

\displaystyle 3x^{\frac{1}{4}}-1=0

\displaystyle 3x^{\frac{1}{4}}=1

\displaystyle x^{\frac{1}{4}}=\frac{1}{3}  Divide both sides by 3.

\displaystyle\left(x^{\frac{1}{4}}\right)^{4}=\left(\frac{1}{3}\right)^{4}  Raise both sides to the reciprocal of  \displaystyle\frac{1}{4}.

\displaystyle x = \frac{1}{81}

  • The two solutions are 0 and \displaystyle\frac{1}{81}.

Use Radicals in Applications

As you progress through your college courses, you’ll encounter formulas that include radicals in many disciplines. We will modify our Problem Solving Strategy for Geometry Applications slightly to give us a plan for solving applications with formulas from any discipline.

How to use a problem solving strategy for applications with formulas.
  1. Read the problem and make sure all the words and ideas are understood. When appropriate, draw a figure and label it with the given information.
  2. Identify what we are looking for.
  3. Name what we are looking for by choosing a variable to represent it.
  4. Translate into an equation by writing the appropriate formula or model for the situation. Substitute in the given information.
  5. Solve the equation using good algebra techniques.
  6. Check the answer in the problem and make sure it makes sense.
  7. Answer the question with a complete sentence.

One application of radicals has to do with the effect of gravity on falling objects. The formula allows us to determine how long it will take a fallen object to hit the ground.

Falling Objects

On Earth, if an object is dropped from a height of h feet, the time in seconds it will take to reach the ground is found by using the formula

\displaystyle t=\frac{\sqrt{h}}{4}.

For example, if an object is dropped from a height of 64 feet, we can find the time it takes to reach the ground by substituting h = 64 into the formula in the table below. 

Steps Algebraic
Equation The formula t equals square root of h divided by 4.
Substitute h = 64 Since h equals 64 we rewrite the formula, replacing h with the number 64. The formula then becomes t equals square root of 64 divided by 4.
Take the square root of 64. Taking the square root of 64 we get t equals 8 divided by 4.
Simplify the fraction. Simplifying the fraction we get t equals 2. It would take 2 seconds for an object dropped from a height of 64 feet to reach the ground.

It would take 2 seconds for an object dropped from a height of 64 feet to reach the ground.

Try it!

Marissa dropped her sunglasses from a bridge 400 feet above a river. Use the formula \displaystyle t=\frac{\sqrt{h}}{4} to find how many seconds it took for the sunglasses to reach the river.


Solution (click to reveal)
Steps Algebraic
1. Read the problem. NA
2. Identify what we are looking for. the time it takes for the sunglasses to reach the river
3. Name what we are looking. Let t = time.
4. Translate into an equation by writing the appropriate formula. Substitute in the given information. . t equals the square root of h divided by 4 and h equals 400. So t equals the square root of 400 divided by 4.
5. Solve the equation. Step 5 is to solve the equation. So t equals 20 divided by 4. So t equals 5.
Solution t equals 5
6. Check the answer in the problem and make sure it makes sense. Does 5 equal the square root of 400 divided 4. Since 5 equals 20 divided by 4, the answer is a solution to the equation. Does 5 seconds seem like a reasonable length of time? Yes. Step 7 is to answer the question. It will take 5 seconds for the sunglasses to reach the river.
Does 5 seconds seem like a reasonable length of time? Yes.
7. Answer the question. It will take 5 seconds for the sunglasses to reach the river.

Another application of this, is with speed and distance. Police officers investigating car accidents measure the length of the skid marks on the pavement. Then they use square roots to determine the speed, in miles per hour, a car was going before applying the brakes.

Skid Marks and Speed of a Car

If the length of the skid marks is d feet, then the speed, s, of the car before the brakes were applied can be found by using the formula

\displaystyle s=\sqrt{24d}

Try it!

After a car accident, the skid marks for one car measured 190 feet. Use the formula \displaystyle s=\sqrt{24d} to find the speed of the car before the brakes were applied. Round your answer to the nearest tenth.


Solution (click to reveal)
Steps Algebraic
1. Read the problem NA
2. Identify what we are looking for. the speed of a car
3. Name what weare looking for, Let s = the speed.
4. Translate into an equation by writing the appropriate formula. Substitute in the given information. Step 4 is to translate into an equation by writing the appropriate formula and substitute in the given information. s equals the square root of the quantity 24 d in parentheses, and d equals 190. So s equals the square root of the quantity 24 times 190 in parentheses.
5. Simplify Step 5 is to solve the equation. So s equals the square root of 4560.
Round to 1 decimal place. So s is approximately equal to 67.52777.
Rounded solution Rounding to 1 decimal place we et s equal to 67.5.
Check Step 6 is to check the answer in the problem and make sure it makes sense. Does the square root of 4560 equal the square root of the quantity 24 times 190 in parentheses? It does. Does 67.5 mph seem like a reasonable speed? Yes. Step 7 is to answer the question. The car was traveling approximately 67.5 mph before the brakes were applied.
Solution The speed of the car before the brakes were applied was 67.5 miles per hour.

Key Concepts

  • Binomial Squares:
    (a + b)2 = a2 + 2ab + b2
    (a − b)2 = a2 − 2ab + b2

    Rational exponent: \displaystyle a^{\frac{m}{n}}=(\sqrt[n]{a})^{m} and \displaystyle a^{\frac{m}{n}}=\sqrt[n]{a^{m}}

  • Solve a Radical Equation
    1. Isolate one of the radical terms on one side of the equation.
    2. Raise both sides of the equation to the power of the index.
    3. Are there any more radicals?
      If yes, repeat Step 1 and Step 2 again.
      If no, solve the new equation.
    4. Check the answer in the original equation.

 


  1. derived from Openstax Elementary Algebra, Access for free at https://openstax.org/books/elementary-algebra-2e/pages/1-introduction; and Intermediate Algebra, Access for free at https://openstax.org/books/intermediate-algebra-2e/pages/1-introduction
definition